Skip to content

Cari

Pos Terkini

  • Cara Mengaktifkan Verifikasi 2 Langkah di Akun Google untuk Mencegah Hacker – Metropro
  • 1 KG Berapa Gram? Cara Menghitung dan Contohnya – Metropro
  • Cara Mengganti Password WiFi Indihome Lewat HP dengan Mudah – Metropro
  • Cara Menghapus Riwayat Pencarian di Google dengan Mudah – Metropro
  • Cara Menggabungkan File PDF Menjadi Satu Tanpa Aplikasi – Metropro

Kategori

  • Pendidikan

Temukan Kami

Alamat
Jl. Jend. Sudirman 8
Jakarta Pusat, Jakarta 10110

Jam Buka
Senin—Jumat: 09:00–17:00
Sabtu & Minggu: 11:00–15:00

  • Beranda
  • Tentang
  • Pendidikan
  • Beranda
  • Tentang
  • Pendidikan
  • Beranda
  • Tentang
  • Pendidikan
metopro Merupakan Website Pendidikan Berisikan Materi SMP SMA Dan Perguruan Tinggi Secara Akurat.
metopro Merupakan Website Pendidikan Berisikan Materi SMP SMA Dan Perguruan Tinggi Secara Akurat.
  • Beranda
  • Tentang
  • Pendidikan
Pendidikan

Siklus Air – Pengertian, Proses, Tahapan, Gambar, & Siklus – Metropro

siklus air – Air merupakan salah...
Bu GuruMei 5, 2023
Pendidikan

Dataran rendah – definisi, karakteristik, wilayah dan tanaman – Metropro

Dataran rendah: pengertian, ciri-ciri, contoh daerah...
Bu GuruMei 5, 2023
Pendidikan

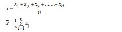
Rumus statistik dasar matematika lengkap – Metropro

Rumus statistik matematika – Pengertian statistika...
Bu GuruMei 5, 2023
Pendidikan

Contoh Kata Kerja – Kata Kerja menurut Bentuk & Tipe – Metropro

Contoh kata kerja – Kata kerja...
Bu GuruMei 5, 2023
Pendidikan

Contoh kata ganti – definisi, karakteristik, tipe – Metropro

Contoh kata ganti – Tahukah Anda...
Bu GuruMei 5, 2023
Pendidikan

Cara cepat menghitung persen tanpa kalkulator dan contoh – Metropro

Cara cepat menghitung persentase tanpa kalkulator...
Bu GuruMei 5, 2023
Pendidikan

Formula standar deviasi populasi dan sampel statistik – Metropro

Rumus standar deviasi – Definisi standar...
Bu GuruMei 5, 2023
Pendidikan

Pengertian Gurindam – Pengertian, Ciri-Ciri, Jenis-Jenis – Metropro

Definisi Gurindam Pecinta sastra, tahukah kamu...
Bu GuruMei 5, 2023
Pendidikan

Contoh Silogisme – Definisi, Jenis – Metropro

Contoh Silogisme – bicara Adapun silogisme,...
Bu GuruMei 5, 2023
Pendidikan

Jenis-jenis paku dan fungsinya – Cilacap Klik – Metropro

Jenis kuku Jenis paku dan fungsinya...
Bu GuruMei 5, 2023
132133134135136

Cari

Tentang Situs Ini

Ini bisa jadi ruang yang tepat untuk memperkenalkan diri dan situs Anda, atau menuliskan daftar penghargaan.

Temukan Kami

Alamat
Jl. Jend. Sudirman 8
Jakarta Pusat, Jakarta 10110

Jam Buka
Senin—Jumat: 09:00–17:00
Sabtu & Minggu: 11:00–15:00

  • Beranda
  • Tentang
  • Pendidikan
Copyright © 2026    Yuki Masonry Blog Theme Designed By WP Moose